采场上覆岩层运动规律
1.采场上覆岩层破坏的基本形式
 理论与实践的研究结果表明,采场上覆岩层悬露后发展到破坏有二种运动形式:弯拉破坏和剪切破坏。
弯拉破坏的发展过程是:随采场推进,上覆岩层悬露→在重力作用下弯曲→岩层悬露达一定跨度,弯曲沉降发展到一定限度后,在伸入煤壁的端部开裂→中部开裂形成“假塑性岩梁”→当其沉降值超过“假塑性岩梁”允许沉降值时,悬露岩层即自行冒落。 
 岩层运动由弯曲沉降发展至破坏的力学条件是岩层中的最大弯曲拉应力达到其抗拉强度。
悬露岩层中部拉开后,是否发展至冒落,则由其下部允许运动的空间高度决定。只有其下部允许运动的空间高度超过运动岩层的允许沉降值,岩层运动才会由弯曲沉降发展至冒落。否则,将保持“假塑性岩梁”状态。由此,煤层上方第n个岩层弯曲破坏发展至冒落的条件为:


 岩层剪(切)断破坏的发展过程是:岩层悬露后只产生不大的弯曲,悬露岩层端部开裂→在岩层中部未开裂(或开裂很小)的情况下,整体切断塌垮。
2 .采场上覆岩层在纵向上的运动发展规律
2.1岩层离层发生的位置和条件
采场上方悬露的岩层,可视为在均布载荷作用下的多层嵌固梁。该岩梁弯曲沉降过程中,必然在平行于轴向的各层面(或接触面)上出现剪应力。随采场推进,剪应力随岩梁悬跨度和外载的增加而增加,当剪应力值超过层面上(或软弱夹层的接触面上)粘结力和摩擦阻力所允许的限度时,层面或软弱夹层的接触面被剪坏。岩层的离层随即发生。因此,离层发生和力学条件为:

式中:τ——层面(或软弱夹层接触面)的剪应力;
       C——层面或接触面上的粘结力;
      φ——层面或接触面上的磨擦角;
      σn——层面或接触面上的压应力。
大量理论研究和工程实践表明:
(1)离层一般发生于岩层的接触面或软弱夹层上;
(2)接触面的破坏,只有在相应接触面上的剪应力超限时才会发生,即悬露岩层的跨度达到极限时,离层才会发生。 
(3)离层出现的位置取决于组合岩梁中各岩层的弯曲刚度和各夹层的强度。当下部岩层弯曲刚度小,夹层(或接触面)强度低时,离层在下部发生;反之,离层可能在上部夹层中出现。
(4)各岩层受采场推进的影响,其悬露时间、悬露跨度和所受外载由下而上是不相同的。一般来说最下部的岩层最先悬露,愈靠近上部的岩层,悬露愈晚。各岩层的悬露跨度由下而上是依次递减的。研究证明,如果下部岩层端部断裂前悬跨度为L1,则上部岩层的反弯点将由两端向采场方向移动,约从0.1L1处开始,其实际悬跨度L2将比下部岩层小0.2倍,即L2=0.8 
L1。
(5)由于岩梁的悬露跨度由下而上依次减小,而剪应力大小又与岩梁悬露跨度成比例,因此剪应力大小也是由下而上递减的。因此,即使各岩层的岩性、厚度均相同,各接触面的抗剪强度也相同,离层将从下开始往上逐步发展,故岩层的运动发展趋势是由下而上的。
2.2传递岩梁形成的力学机理
 “以岩层运动为中心的矿山压力理论体系”认为,采场上覆岩层中除临近煤层的采空区已冒落岩层外,其它岩层保持“假塑性”状态,两端由煤体支承,或一端由工作面前方煤体支承,一端由采空区矸石支承,在推进方向上保持传递力的联系。把每一组同时运动(或近乎同时运动)的岩层看成一个运动整体,称为“传递力的岩梁”,简称“传递岩梁”。
对于相邻的两岩层,是同时运动组成一个传递岩梁,还是分开运动形成两个传递岩梁,可用两岩层沉降中的最大曲率(Pmax)和最大挠度(Wmax)来判断。
当ρmax上≥ρmax下或Wmax上≥Wmax下时,两岩层组合成一个传递岩梁同时运动。
当ρmax上<ρmax下或Wmax上<Wmax下时,两岩层将形成两个传递岩梁分别单独运动。
2.3 上覆岩层“三带”划分
采场上覆岩层运动过程中,根据各岩层运动性质的不同可以划分为三部分(“三带”):垮落带、裂隙带和缓沉带。如图示。

垮落带:也称冒落带,该部分岩层在老塘已经垮落,在采场由支架暂时支撑,在推进方向上不能始终保持传递水平力的联系。
裂隙带:该部分岩层在推进方向上裂隙较发育,各岩层的裂隙浓度已扩展到(或接近扩展到)全部厚度。在采场推进过程中能够以“传递岩梁”的形式周期性断裂运动,在推进方向上能始终保持传递水平力的联系。该部分岩层也是内应力场的主要压力来源。
缓沉带:缓沉带的岩层在采场推进很长一段距离后才会开始运动,其运动缓慢,运动结束后在推进方向上形成的裂隙,无论在数量上还是在深度上都比裂隙带少和小。缓沉带运动的最终结果是在地表形成沉降盆地。
其中,对采场矿压显现有明显影响的是垮落带和裂隙带中的
下位1-2个传递岩梁。一般情况下,我们把垮落带称为直接顶;对采场矿压显现有明显影响的1-2个下位传递岩梁称为老顶,直接顶与老顶的全部岩层为采场需控岩层范围。理论研究和相似材料模拟实验的结果表明,在采场推进过程中,采场上覆岩层中会形成一个压力拱。正是由于该压力拱的存在,使得工作面支架上所受的压力大大小于采场上覆岩层的总重量,该压力拱的拱迹线为裂隙带中各传递岩梁的端部断裂线和裂隙带与缓沉带的分界线。垮落带和裂隙带中已发生明显运动的岩层位于压力拱内,而垮落带和裂隙带中尚未发生明显运动的部分岩层及缓沉带岩层位于压力拱外。
垮落带(冒落带)的范围(厚度)参照下图和公式求出。


式中:SA---裂隙带中下位岩梁(老顶)的实际沉降值,m;
H--采高,m;
KA--垮落后岩层的碎胀系数;
Mz--垮落带高度,m。
研究结果表明:垮落带高度一般为采高的2-3倍。
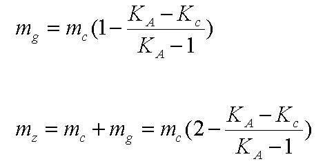
开采厚煤层下部分层时,冒落高度计算模型如下图所示。

计算开采下分层时可能的冒落高度的公式为:


显然mz值与上分层采高mc、本分层工作面所在位置上部原冒落岩层碎胀系数Kc及本分层采高hg的大小有关。当两分层采高相同,并忽略两个分层岩梁沉降值及碎胀系数间的差别时,开采本分层新增采高及冒落岩层总厚度分别为:

裂隙带的高度是随着采场的推进而逐渐扩展的。当工作面推进距离大约为工作面长度时,裂隙带高度发展到最大,压力拱扩展到最高,此时,拱高约为工作面长度的1/2。因此,裂隙带高度为:

实践证明,裂隙带中对采场矿压显现有明显影响的1-2个下位岩梁厚度,也即老顶厚度大约为采高的4-6倍。
缓沉带的高度就是采深范围中自压力拱拱顶部位(裂隙带上部)开始一直到地表的所有岩层;计算公式为:
![]()
式中: mhc--缓沉带高度,m;
面采深,m;H--工作
mlx--裂隙带高度,m;
mz--垮落带高度,m。
3 采场上覆岩层在推进方向上的运动规律
3.1采场需控岩层范围内覆岩运动规律
采场需控岩层范围包括直接顶(垮落带)和老顶(裂隙带中下位1-2个传递岩梁)二部分。在采场推进过程中,由于各岩层承受的矿山压力大小不同和支承(约束)条件的差异,就其运动发展状况来说可分为两个阶段:初次运动阶段和周期运动阶段。
①初次运动阶段
从岩层由开
切眼开始悬露,到对工作面矿压显现有明显影响的1-2个传递岩梁第一次裂断运动结束为止,为需控岩层的初次运动阶段。如图2-3-1a、b示。其中包括直接顶岩层的第一次垮落。该阶段岩层两端由煤壁支撑,其受力状态可视为固定梁。岩层初次运动在采场的压力显现称为采场的初次来压。
②周期运动阶段
从岩层初次运动结束到工作面采完,老顶岩梁按一定周期有规律地裂断运动,称做周期性运动阶段。如图2-3-1c
~f示。在此阶段岩层的约束条件发生了根本性变化:直接顶岩层在采场里为一端固定的“悬臂梁”。老顶岩梁则为一端由煤壁支承,另一端由老塘矸石支承的不等高的传递岩梁。周期性运动在采场的矿压显现称为采场周期来压。在上述两个运动阶段中,岩层运动都将经历二个发展过程。
①相对稳定过程
把岩梁运动幅度小对采场矿压的影响不明显的过程,称为岩梁处于相对稳定过程。描述该过程长短的参数是岩梁的相对稳定步距,即岩梁处于相对稳定状态时,工作面推进的距离,用b表示,如下图a,c,e所示。

②显著运动过程
把岩梁运动幅度较大,对采场矿压显现影响极为明显的过程,称为岩梁处于显著运动过程,即通常所说的“来压”过程。描述这一运动过程的参数是岩梁的显著运动步距。也就是以岩梁大幅度运动开始,到运动基本结束为止,工作面推进的距离,用a表示,如图b、d、f所示。
岩梁经历了一次相对稳定和显著运动的全过程,就完成了一个运动周期。描述岩梁运动的基本参数为岩梁的运动步距。
①初次运动阶段岩梁运动基本参数
岩梁的相对稳定步距b0,岩梁的显著运动步距a0,岩梁的初次运动步距c0,其相互关系为:c0=b0+a0.
②周期性运动阶段岩梁运动基本参数
岩梁的相对稳定步距b,岩梁的显著运动步距a,岩梁的周期运动步距c,其相互关系为:c=b+a。
计算岩梁初次运动步距的力学模型如图所示。

岩梁裂断发生显著运动的关据为:
![]()
式中,M为岩梁端部的弯矩,W为岩梁截面模量,[σ1]为岩梁的抗拉强度。由此导出岩梁初次运动步距为:

式中,m1为岩梁承载厚度,m2为上部随动层厚度,r为岩层容重。
计算岩梁周期运动步距的力学模型如图所示。

岩梁周期运动步距如公式:

3.2裂隙带覆岩运动规律
裂隙带中覆岩运动的发展过程可分为二个阶段:第一次运动阶段和正常运动阶段。
①第一次运动阶段
自工作面从开切眼开始推进,到裂隙带中最上部一个传递岩第一次裂断运动完成止,为裂隙带覆岩的第一次运动阶段。如图所示。

在该运动阶段,随着工作面的不断推进,覆岩运动范围逐渐扩大。采场上方的压力拱由小到大逐渐向上方岩层扩展。根据相似材料模拟实验的结果,当工作面推进距离大约为工作面长度时,压力拱向上扩展到最高处,高度约为工作面长度的二分之一。在此过程中,裂隙带中下位1-2个传递岩梁(老顶)已完成了初次运动和数个周期运动。在该运动阶段工作面推进的距离称为裂隙带覆岩第一次运动步距,一般与工作面长度基本相等。
②正常运动阶段
自裂隙带岩层第一次运动结束到回采工作面结束止,称为正常运动阶段。如图所示。

在正常运动阶段,压力拱不再向上方岩层扩展,随工作面逐步向前方推进。
由上述分析可知,裂隙带岩层第一次运动阶段为采场上方压力拱在工作面前方和工作面上方2个方向上逐渐扩展的阶段。当第一次运动阶段结束时,压力拱在工作面垂直方向上不再扩展,然后进入正常运动阶段,压力拱将只在工作面前方方向上跳跃式向前扩展。此时压力拱拱顶为一近似
水平线。3.3 缓沉带运动规律
缓沉带岩层运动对采场的矿压显现不明显,而对地表环境产生直接地影响。该部分岩层运动的最终结果是形成地表下沉盆地。长期的研究表明,自工作面从开切眼开始推进,一直到推进距离为采深的1/4-1/2时,地表开始移动。随着工作面的不断推进,地表下沉范围和下沉量不断增大,在充分采动的条件下,形成一平底的地表移动盆地。如图示

4 支承压力分布规律
煤层采出后,在围岩应力重新分布的范围内,作用在煤层、岩层和矸石上的垂直压力称为“支承压力” 。理论研究与现场实践证明,从采场推进开始至需控岩层(直接顶和裂隙带中下位1
-2个岩梁)第一次来压结束期间的支承压力及其显现的变化可以划分为三个阶段:第一阶段:从采场推进开始至煤壁支承能力改变之前。在该阶段,随采场推进,通过处于相对稳定状态的老顶岩梁传道至煤层上的压力将逐渐增加。由于各点的应力还没有达到煤体的不破坏极限,因此,包括煤壁在内整个煤层都处于弹性压缩状态,支承压力分布是一条高峰在煤壁处的单调下降曲线,如图a示。
第二阶段:从煤壁支承能力开始改变起,到老顶岩梁端部断裂前为止。进入此阶段,靠煤壁附近的应力值达到了煤层的强度极限,随着煤体的破坏,其支承能力开始降低,煤层上支承压力的分布将分成二个区间:在塑性区(煤体已完全破坏)压力逐渐上升,在弹性区压力则单调下降,弹塑性区的交界处为压力高峰位置,如图b示
第三阶段:从老顶岩梁端部断裂起至岩梁中部触矸止。岩梁端部断裂前夕,在断裂线附近压力高度集中;岩梁端断裂后,以断裂线为界将支承压力分布明显地分为二部分,即在断裂线与煤壁之间由拱内已断裂岩梁自重所决定的“内应力场”,以及在断裂线外由上覆岩层整体重量所决定的“外应力场”。如图c示。
